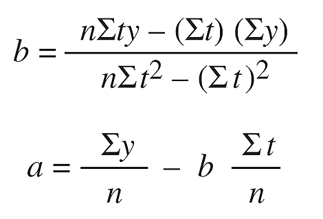
forecasting technique that relies primarily on historical time series data to predict the future. The analysis involves searching for a right trend equation that will suitably describe trend of the data series. The trend may be linear, or it may not. A linear trend can be obtained by using a least-squares method. The line has the equation y = a + bt where t = 1,2,3 . . ., b = slope of the line, and a = value oft = 0. The coefficients of the equation, a and b , can be determined using these equations:
in credit analysis, detailed examination of a company's financial ratios and cash flow for several accounting periods to determine changes in a borrower's financial position. Trend analysis is a key part of credit underwriting, and is a useful and necessary tool in determining whether the borrower's financial strength is improving or deteriorating. Key ratios examined include debt coverage ratio,turnover ratio (conversion of inventory and receivables to cash), and the quick assets ratio or quick ratio (current assets divided by current liabilities).
a study of a company's financial performance over an extended period of time. Trend analysis helps to understand overall financial performance over a period of time.


