- statistic that measures the tendency of data to be spread out. Accountants can make important inferences from past data with this measure. The standard deviation, denoted with ? and read as sigma, is defined as follows:
where x is the mean.
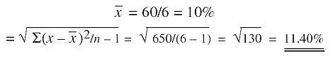
For example, one-and-one-half years of quarterly returns for XYZ stock follow:
From the preceding table, note that
The XYZ stock has returned on the average 10% over the last six quarters and the variability about its average return was 11.40%. The high standard deviation (11.40%) relative to the average return of 10% indicates that the stock is very risky,
- measure of the dispersion of a probability distribution. It is the square root of the mean of the squared deviations from the expected value E(x).
It is commonly used as an absolute measure of risk. The higher the standard deviation, the higher the risk.
For example, consider two investment proposals, A and B, with the following probability distribution of cash flows in each of the next five years:
The expected value of the cash inflow in proposal A is:
$50(.2) + 200(.3) + 300(.4) + 400(.1) = $230 The expected value of the cash inflow in proposal B is:
$100(.2) + 150(.3) + 250(.4) + 850(.1) = $250 The standard deviations of proposals A and B are computed as follows:
Proposal B is more risky than proposal A, since its standard deviation is greater.
statistical measure of the degree to which an individual value in a probability distribution tends to vary from the mean of the distribution. From a normal distribution, one standard deviation includes about 66% of the population; two standard deviations include about 95%.
statistical measure of the degree to which an individual value in a probability distribution tends to vary from the mean of the distribution. It is widely applied in modern portfolio theory, for example, where the past performance of securities is used to determine the range of possible future performances and a probability is attached to each performance. Mutual fund analysts average the returns over three years, then determine the range in which returns have varied from that mean. So, if the mean return is 10% and the range has been +25% to -5%, standard deviation is 15.
statistical calculation of the difference between an average and the individual values included in the average. For example, it would be useful to know how much variation there is in response to a direct-mail package across several mailing lists. The standard deviation, represented by the Greek letter sigma ("?" for a population and "s" for a sample) is equal to the square root of the variance. The formula is:
The greater the degree of difference of a value from the average, the larger the standard deviation. The advantage of a standard deviation calculation over a variance calculation (see analysis of variance) is that it is expressed in terms of the same scale as the values in the sample. For example, if the standard deviation of a sample group of automobile prices is calculated, a standard deviation of 500 is equal to $500. That means that most of the prices are within ± $500 of the average price. A standard deviation calculation indicates the degree to which values are clustered around the average. For example, the standard deviation of a group of compact automobile prices might be $500, meaning that there is relatively little price difference in that automobile market-the prices are all within $500 of each other. However, the standard deviation of the entire U.S. automobile market might be $5000, indicating a large variation in prices.







